Personal tools

Aller au contenu. | Aller à la navigation

Navigation
Vous êtes ici : Accueil Mairie Affichage public Annexes affichage public 2013 Arrêté 2013184.21 du 03 juillet 2013
Accueil Mairie

Mairie - 4 place Jeanne d'Arc

68640 WALDIGHOFFEN

Tel : 03 89 25 80 26 - Fax : 03 89 07 71 26

Horaires d'ouverture de l'accueil

Lundi - Mardi - Jeudi - Vendredi

de 10h00 à 12h00 et de 14h00 à 18h00

Mercredi

de 10h00 à 12h00

Contacter la Mairie par courriel

Adresses et téléphones indispensables

Votre météo

 


 

Actions sur le document

Arrêté 2013184.21 du 03 juillet 2013

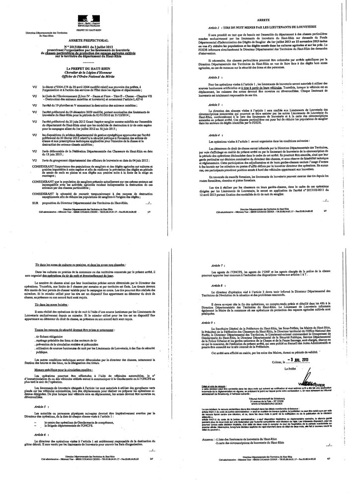
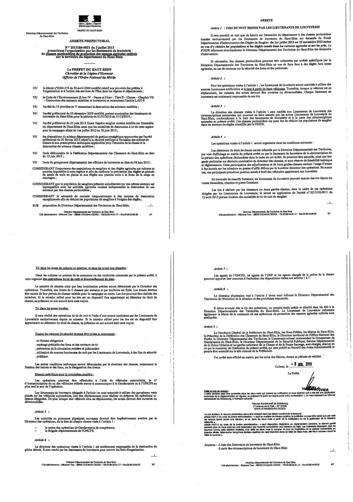
Arrêté prescrivant l'organisation par les lieutenants de louveterie de chasses particulières de protection des espaces agricoles cultivés dans le Haut-Rhin
Arrêté 2013184.21 du 03 juillet 2013
Image dans sa taille originale : 185 ko | Voir l'image Voir Télécharger l'image Télécharger