Personal tools

Aller au contenu. | Aller à la navigation

Navigation
Vous êtes ici : Accueil Mairie Affichage public Annexes affichage public 2020 Arrêté pref 17sept2020 sénatoriales
Accueil Mairie

Mairie - 4 place Jeanne d'Arc

68640 WALDIGHOFFEN

Tel : 03 89 25 80 26 - Fax : 03 89 07 71 26

Horaires d'ouverture de l'accueil

Lundi - Mardi - Jeudi - Vendredi

de 10h00 à 12h00 et de 14h00 à 18h00

Mercredi

de 10h00 à 12h00

Contacter la Mairie par courriel

Adresses et téléphones indispensables

Votre météo

 


 

Actions sur le document

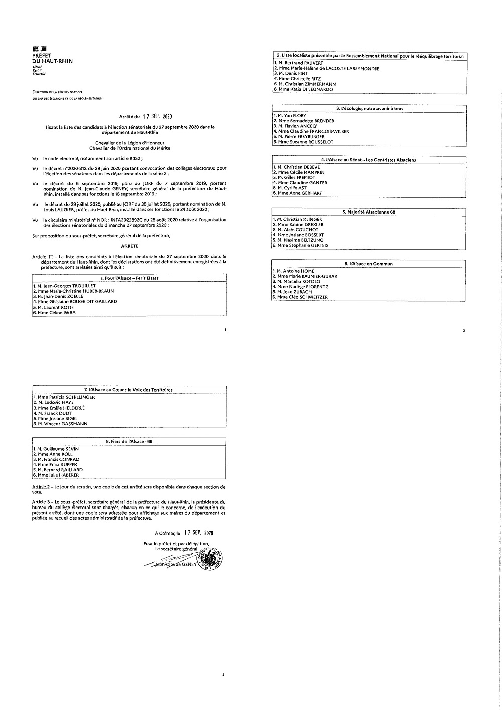
Arrêté pref 17sept2020 sénatoriales

Arrêté pref 17sept2020 sénatoriales
Image dans sa taille originale : 221 ko | Voir l'image Voir Télécharger l'image Télécharger